Return to Akira Takaoka's home page.

Improvised, Free Ornamentation in Violin Music of the 18th Century

️Yuki Horiuchi️ and ️Akira Takaoka




Ornaments for Corelli's Violin Sonatas, op.5, V/1, mm.1-6 (see Example 1.1 below) in a manuscript by Johan Helmich Roman (1694-1758)
Shelfmark: Ro 97:57, Musik- och teaterbiblioteket, Stockholm, Sweden (courtesy of librarian Sebastian)

Our research aims to identify guiding principles for the ornamentation of 18th-century music, which will also serve as a rule system for algorithmic composition. What follows is an outline of our ongoing joint research.

This webpage, co-authored by Yuki Horiuchi️ and Akira Takaoka, started as supplementary reference material for our paper presentation at the 23rd Annual Meeting of the Japan Music Expression Society in Sendai, Japan, on June 21 and 22, 2025 (The handout in Japanese (学会発表の日本語ハンドアウト) is available here) and has been rewritten for the 60th regular meeting of the Japanese Society for Sonic Arts (JSSA), which took place online on December 14, 2025. This page now outlines our ongoing joint research into the ornamentation of 18th-century music.

Dr. Yuki Horiuchi️ 堀内由紀️ is a distinguished Baroque violinist and musicologist, currently a lecturer of music at J.F. Oberlin University in Tokyo, Japan, and a member of Bach Collegium Japan (BCJ). She leads this joint research project (この共同研究の筆頭研究者).

Akira Takaoka 高岡 明 is a composer and music theorist. In addition to the performance practice of the 18th century, he specializes in atonal theory, compositional algorithms, and methodological issues such as the roles of metaphor in music theory. He is currently a professor of music at J.F. Oberlin University and Tokyo College of Music and a lecturer of music theory at Tokyo University of the Arts in Tokyo, Japan.

This joint research is supported by the Rohm Music Foundation.


1. Improvised, Free Ornamentation in Violin Music of the 18th Century and its Sources that Have Survived to Date

(We use Scientific Pitch Notation (SPN) to denote pitches.)

1.0. Introduction: The Purpose and Outline

The art of ornamentation is always a balancing-act between the performer's intuition and the composer's specification; all that can be demonstrated from historical sources is a series of such reconciliations as proved acceptable to (some) 18th-century tastes. (Hogwood 2013a, IX)
In Corelli's time, performers customarily improvised ornamentation. Due to its improvisational nature, however, such free ornamentation was rarely notated. This study aims to identify the rules that govern the patterns of free ornamentation found in Corelli's Violin Sonatas, Op. 5. Zaslaw (1996, 95) points out that "Following their [the sonatas'] publication they attained the status of classics, and by 1800 had been republished more than 50 times, in Amsterdam, Bologna, Florence, London, Madrid, Milan, Naples, Paris, Rome, Rouen and Venice. No other set of works enjoyed a comparable reception in the 18th century." We expect, therefore, that if the rules are identified, they will serve as guiding principles for today's performers of the 18th-century music to improvise their own ornaments. With respect to the patterns of ornamentation, we have classified all surviving notated ornaments from the Amsterdam edition (Corelli 1710) all the way through Johan Helmich Roman (c. 1715–21), Michael Christian Festing (c. 1733-36), Francesco Geminiani (1776), Giuseppe Tartini (n.d.), to Francesco Galeazzi (1817). Through the analysis of the relationships among those ornamental patterns, we have found that a relatively small set of rules governs the patterns. In other words, those various patterns of ornamentation can be derived from the set of rules, and any ornaments derived in this way do not entirely deviate from the 18th-century Italian style of free ornamentation. To test the plausibility of this finding, we have written a computer program that implements the set of rules and generates ornaments, and found that it can generate all the surviving notated ornaments. Consequently, observing the set of rules, today's performers will be able to improvise their own ornaments without entirely deviating from the stylistic framework of the 18th-century Italian free ornamentation. Just as 18th-century performers experimented with a variety of ornamental patterns, today's performers can try out new combinations of the rules to test various new, original ornamental patterns that will be "acceptable to (some) 21st-century tastes" without entirely deviating from the stylistic framework of the 18th-century Italian free ornamentation. Having finished the "lexicology" of 18th-century ornamentation, our next goal will be to find its pragmatics and its implementation in a computer program.

装飾法は、作曲家が記した演奏に関する指示と演奏家の直感の間のバランスを取る行為である。18世紀において、当時の嗜好を反映しながら、そのバランスを取る試みが絶えることなく継続していたことは、歴史的資料が証明している。 (Hogwood 2013a, IX)
アルカンジェロ・コレッリ(Arcangelo Corelli, 1653-1713)の時代には、演奏者は即興的に装飾を演奏するが習慣がありました。しかし、その即興性ゆえに、そうした自由装飾は稀にしか記譜されていません。従って、自由装飾の演奏法については、その詳細は現在不明の状況にあります。本研究では、アムステルダム版(Corelli 1710)からジェミニアーニ(Geminiani 1776)、タルティーニ(Tartini n.d.)、ルーマン(Roman c. 1715–21)、フェスティング(Festing n.d.)、ガレアッツィ (Galeazzi 1817) に至るまで、コレッリの《ヴァイオリン・ソナタ集》作品5 (Corelli 1700) の緩徐楽章に適用された現在入手し得るすべての記譜された自由装飾のパターンを分類し、それらのパターンが従う規則の集合の特定を試みました。 そうした装飾パターン間の関係性を分析した結果、それらの装飾パターンは、比較的少数の規則の組合せによって規定されていることが判明しました。つまり、コレッリの作品5に付されたあらゆる自由装飾の語彙の総体 corpus は、それら比較的少数の規則を適用することによって導出可能であるという仮説が成立します。コレッリの作品5は、音楽学者ニール・ザスロー (Zaslaw 1996, 95) やリチャード・タラスキン (Taruskin 2010, 524–525) が指摘するように、18世紀全般を通じて比類ない影響力を持った作品であったため、そうした規則の集合は、現代の演奏家が18世紀音楽を演奏する際の有用な指針になると思われます。 音楽理論家レナード・マイヤー(Meyer 1967, 281–2) が指摘するように、自然科学者は仮説の妥当性を客観的な物質世界で検証しますが、音楽認知に関わる仮説の検証は、聴衆としての我々の音楽的認知能力に頼らざるを得ません。つまり、音楽理論家フレッド・レーアダールと言語学者レイ・ジャケンドフ(Lerdahl and Jackendoff 1983, 3) が「経験豊かな聴き手の音楽的直感 the musical intuitions of the experienced listener」と呼ぶ聴衆の認知能力に頼ることになります。 このマイヤーの指摘に従って、本研究では、自然科学の分野における実験、観察による仮説の検証過程をコンピュータ・シミュレーションによって実現し、検証作業を行いました。つまり、上述の規則の集合をアルゴリズムとして持つコンピュータ・プログラムを Java 言語で作成し、このプログラムが自動生成する装飾の妥当性を検討します。自然科学の仮説が実験や観察によって帰納的に確証されるように、18世紀の自由装飾に関する上述の仮説がこのコンピュータ・シミュレーションによって帰納的に確証されれば、この規則の集合によって規定される装飾語彙の総体は、いかに多様であっても18世紀イタリアの自由装飾の様式から完全に逸脱することはありません。従って、そうした自由装飾の語彙を獲得した現代の演奏家は、18世紀の演奏家が様々な装飾パターンを試みたように、現代の演奏家もこの語彙を用いることによって、18世紀の自由装飾の様式的枠組みから完全に逸脱することなく、「21世紀の嗜好を反映した」様々な新しい独創的な装飾パターンの探求が可能になると期待されます。 こうして、自由装飾の語彙論がある程度判明しましたので、我々の次の研究目標としては、そうした装飾語彙の用法 usage を規定する自由装飾の「語用論 Pragmatics」および18世紀の装飾様式の変遷モデルの構成とそのコンピュータ・プログラムへの実装になります。


1.1. Notated examples of ornamentation

Not many notated ornaments of 18th-century violin music have survived to date. Some of the rare exceptions are those written for Corelli's Violin Sonatas, op.5, which was published in 1700, reprinted more than fifty times even during Corelli's lifetime, and remained the most influential violin piece throughout the 18th century.

For example, the following is the first five measures from Corelli's Violin Sonata, op.5, V/1:


Example 1.1: Mm. 1-5 from Corelli's Violin Sonata, op.5, V/1 (Corelli 1700)


The video below (courtesy of Tokyo University of the Arts) shows that Yuki Horiuchi improvises her own ornaments for those five measures:


Copyright (C) 2025 Tokyo Geidai (Tokyo University of the Arts)

Example 1.2: Yuki Horiuchi performing her own ornaments for Corelli's Violin Sonata Op. 5, V/1, mm. 1-5 (Corelli 1700)


The following are the ornaments applied to Corelli's op. 5, V/1, mm. 1-2 by Horiuchi (2018a, 2018b) and violinists of the 18th century (Scroll down):


Copyright (C) 2025 Yuki Horiuchi

Example 1.3: Free ornamentation by Yuki Horiuchi, transcribed by Akira Takaoka, and violinists from the 18th century (Scroll down)


  1.2. Sources ("*" indicates the locations of anonymous manuscript sources.)

Some examples of ornamentation applied to Corelli's op. 5 are available in Zaslaw (1996), Hogwood and Mark (2013a, 2013b), and so on. We have also assembled, edited, and typeset all the extant notated ornaments in the manner of Ex. 1 from Zaslaw (1996, 100-4) so that performers, researchers, composers, and music lovers can compare all of them at once on the same pages.

The sources we have examined for our research are the following (click on the "sources" button below):


   


  Corelli, Arcangelo. 1700. Sonate a Violino e Violone o Cimbalo, op.5. 1st ed. Rome: Gasparo Pietra Santa.

  _______. 1710. Sonate a Violino e Violone o Cimbalo di Arcangelo Corelli Da Fusignano Opera Quinta Parte Prima Troisième Edition ou l’on a joint les agréemens des Adagio de cet ouvrage, composez par Mr. A. Corelli comme il les joue. Amsterdam: Estienne Roger. RISM ID no. sources/990011197.

  Dubourg, Matthew. c.1725. Corelli’s Solos Grac’d by Dobourg [sic], versioni ornate delle Sonate op. 5 di Corelli. Microfilms A1494 M and A2337. Jean Gray Hargrove Music Library, University of California, Berkeley (US-BEm).

  Festing, Michael Christian. c.1733-36. Manuscript. Add MS 71244, The British Library (GB-Ll).

  Hogwood, Christopher and Ryan Mark ed. 2013a. Sonatas for Violin and Basso continuo, With Contemporary Embellishments, and a Keyboard Realisation by Antonio Tonelli (1686-1765), vol. 1. Kassel: Bärenreiter.

  Hogwood, Christopher and Ryan Mark ed. 2013b. Sonatas for Violin and Basso continuo, With Contemporary Embellishments, and a Keyboard Realisation by Antonio Tonelli (1686-1765), vol. 2. Kassel: Bärenreiter.

  Lund* n.d. Manuscript. Saml Wenster L: 61, Lund Universitetsbiblioteket, Lund (S-L).

  Manchester*. c. 1750. Manuscript. Newman Flower Collection: MS. 130 HD 4 v. 313, Henry Watson Music Library, Manchester, (GB-Mp).

  McGibbon/McLean. c. 1740. Manuscript. MS 957, Jean Gray Hargrove Music Library, University of California, Berkeley (US-BEm).

  Roman, Johan Helmich. c. 1715-1721. Ornamentikförslag till Corellis, op.5. Manuscript. Ro 61:3 and 4, and Ro 97:57, 58, and 60, Musik- och teaterbiblioteket, Stockholm. Also available under "Romansamlingen" at ALVIN: Platform for digital collections and digitized cultural heritage, www.alvin-portal.org/

  Tartini, Giuseppe. n.d. Tartini Miscellanea Parti incomplete. Manuscript. D.VI. 1896, Biblioteca Antoniana, Padua (I-Pca). RISM ID no. 850731001.

  Tonelli, Antonio. n.d. Realizzazione del basso continuo dell’opera quinta di Arcangelo Corelli. Manuscript. Mus.F. 1174, Biblioteca estense universitaria, Modena.



We are grateful to the following librarians for kindly providing us with the PDF copies of those manuscripts in the list above and allowing us to post them on this Web page:

Mr. Sebastian at Musik- och teaterbiblioteket, Stockholm
Ms. Fiona McHenry at Rare Books & Music Reference Team, The British Library, London
Mr. John Shepard at Jean Gray Hargrove Music Library University of California, Berkeley
Ms. Åsa Sjöblom at Department of Collections, Lund University Library, Lund


      Example 1.4: List of Sources (PDF copies of these sources will soon be posted here with permission.)

  1.3. Corelli. Violin Sonatas, op.5: Notated Examples of Ornamentation

Hogwood and Mark (2013a, 2013b) come with solo parts with ornaments notated by various 18th-century violinists, copied from the manuscripts listed in Example 1.4. Although they are useful, since each of them does not align with the B.C. part, it's rather inconvenient for us to examine the onsets of those ornaments with respect to harmonies. So, we have prepared scores in the manner of Zaslaw (1996, 100-4) that allow us to examine the solo parts alongside the B.C. parts on the same pages.

Click on the following buttons to see examples of ornaments applied by 18th-century violinists to Corelli's Violin Sonatas, op.5 (Scroll down to see the entire score.):


   

   


   

   


   

   


   

   


   

   


   

   


   

   


   

   


   

   


   

   


   

   


      Example 1.5: Ornamental passages found in manuscripts in Example 1.4.

Some notes on the part by Roman are in order here. In all of the scores in Example 1.5, we added footnotes on the differences between Hogwood and Mark (2013a, 2013b) and manuscripts. We gave no footnotes on the differences in No. 11, Movement 1, however. There are too many to mention. For example, m. 4 in Roman's manuscript (Ro 97:60, Roman c. 1715-1721) looks like the following:



Example 1.6: M. 4 from No. 11, Movement 1 in a manuscript by Johan Helmich Roman
Ro 97:60, Musik- och teaterbiblioteket, Stockholm, posted with permission

And the following is the same measure from Hogwood and Mark (2013b):



Example 1.7: The same measure from Hogwood and Mark (2013b), posted with permission

Roman's handwriting seems to indicate that those manuscript parts were jotted down as quick notes to himself. It seems to be the case especially for No. 11, Movement 1. The following are the manuscripts of the violin part of No. 11, Movement 1 by Roman (Ro 97:60, fol. 2v and Ro 97:58, Musik- och teaterbiblioteket, Stockholm. Posted with permission).


   


   


Example 1.8: Manuscripts of No. 11, Movement 1 by Johan Helmich Roman. Posted with permission from Musik- och teaterbiblioteket, Stockholm.

Concerning Roman's manuscripts and their edition, Hogwood and Mark (2013b, 66) observe that

[manuscript Ro 97:60 has] no title, notated imprecisely, and presented here in an editorial realisation where full-sized notes provide a metrical skeleton largely derived from those passages with exact rhythms (but often in double-length note-values) and from those unbeamed notes singled out with dots (removed editorially); the remaining unbeamed notes are treated here as grace-notes and all trills are editorial.
Reiter (2020b) also points out that
The fact that Roman's ornaments for both this [1st movement from Corelli's Violin Sonata, V/1 (Corelli 1700)] and the other Adagio from the same sonata are written out on the same page without any corrections indicates that he had worked out his "improvisations" either to perform them himself or for didactic reasons... (Lesson 30)
Therefore, although we also believe that most performers would play, for example, the two dotted notes of E5 and F#5 (in Example 1.6) with trills, due to the too many possibilities of interpretation and the improvisational nature of those ornaments, we would rather refrain from presenting our own interpretations here and rely solely on those presented in Hogwood and Mark (2013a, 2013b) as possible ones.



2. Patterns of Ornamentation in Violin Music of the 18th Century: Lexicology of Ornamentation

Horiuchi (2018a, 2018b) examines all the surviving scores and manuscripts of Corelli's op. 5 from the 18th century listed as columns B to L of the table in Example 2.1 below, and classifies them into 18 patterns listed as P1 to P18 in column A of the table:


Example 2.1: Ornamentation patterns of the 18th century identified by Horiuchi (2018)


In what follows, P1, P2,..., and P18 shown in Example 2.1 are used to denote the names of the patterns as well as the rules that govern or generate the patterns. Example 2.2 below shows some examples of those patterns (Scroll down):




Example 2.2: A list of the patterns of free ornamentation by violinists of the 18th century (Scroll down)


Now, it seems that some patterns, P4 in row Q and those in rows R and S, namely, P7 to P13, can be derived from {P1, P2, P3} as basic patterns (BPs) in row P through the following three derivation rules D1, D2, and D3:

D1: Increase in the number of notes, "diminution"
D2: Wider rhythmic variety
D3: Wider registers and intervals

Example 2.3: Three derivation rules, D1, D2, D3

All those "derivative" ornamentation patterns in rows R and S, that is, P7 to P13, can be derived from BPs and {D1, D2, D3}. For example, P7 and P8 are derived in the following ways:

Example 2.4: Derivations of the ornaments in rows R and S (P7 and P8)


Similarly, P9 to P13 can be derived in the following ways:

Example 2.5: Derivations of the ornaments in rows R and S (P9 to P13)


Some ornaments in Corelli (1710), the Amsterdam edition, and in Roman (c. 1715-1721) are derived from the original melody by Corelli (1700) in the ways shown in Examples 11 and 12 below:


Example 2.6: Ornaments in Corelli (1710) and Dubourg (c. 1725) derived from the 1st edition of Corelli's Violin Sonata, op.5, V (1700)



Example 2.7: Ornaments in Corelli (1710) and in Roman (c. 1715-1721) derived from the 1st edition of Corelli's Violin Sonata, op.5, V (1700)


In this way, all the ornaments found in the manuscripts listed in Example 1.4 can be derived using the set of rules, {P1, P2,..., P18, D1, D2, D3}. In other words, what we have so far discussed amounts to the lexicology of the ornamentation of the 18th-century Italian violin music.


3. Performing Corelli's Violin Sonatas, Op. 5: Applications of the Lexicology of the 18th-Century Ornamentation

We have obtained a set of rules {P1, P2,..., P18, D1, D2, D3} that generate a wide variety of ornaments notated by 18th-century violinists on their manuscripts. Although we know that they generate all the extant examples of ornaments from the 18th century, what we do not know is whether or not they generate only those ornaments in the style of the 18th-century music. In other words, they might generate those ornaments which 18th-century musicians would never have performed and sound totally foreign to the 18th-century music. We will discuss this issue in the next section.

Now, let us present two demos of ornamentation using the set of rules. The video clip in Example 3.3 below is our first example of an application of the rules, which shows Horiuchi playing the last several measures from the first movement of Corelli's Violin Sonata, op.5, XI/1 (1700). The ornaments she plays are all derived from a combination of the patterns found in the Amsterdam edition, that is, only those ornaments that can be derived by P1 to P6 as shown in column M in Example 3.1 below.



Example 3.1: Yuki Horiuchi's ornamentation: Columns M and N

Example 3.2 shows the ornaments she plays in the video. Since the patterns of those ornaments are only those used in the Amsterdam edition (Corelli 1710), they may sound somewhat like the ornamentation by Corelli himself.


Copyright (C) 2025 Yuki Horiuchi

Example 3.2: The ornaments derived from P1 to P6 (the patterns found in the Amsterdam edition) by Yuki Horiuchi (2023)

The following video clip shows Horiuchi's performance of the section shown in Example 3.2:



Copyright (C) 2025 Yuki Horiuchi

Example 3.3: Improvised, free ornaments derived from P1 to P6 by Yuki Horiuchi


Let's move on to the next demo. Column N of the table in Example 3.1 above shows a combination of patterns Horiuchi chose. Since the combination was never used by any 18th-century violinists who left those notated ornaments, it's expected to sound like some new ornamentation and yet remain in the framework of the style of the 18th-century ornamentation. Example 3.4 below shows the same section as the previous one, for which only those ornaments that are derived by the combination of the rules are employed.

Copyright (C) 2025 Yuki Horiuchi

Example 3.4: A new combination of patterns by Horiuchi shown in Column N of the table in Example 3.1.


The following is Horiuchi's performance of the section shown in Example 3.4:


Copyright (C) 2025 Yuki Horiuchi

Example 3.5: Free ornamentation for Corelli's Violin Sonata, op.5, No.11, mm.9-16 played by Yuki Horiuchi


Example 3.6 below shows a set of various ornaments applied to the same section, Corelli's op.5, XI, mm. 9-16, by violinists of the 18th century and those played by Horiuchi in the video of Example 3.5 (Scroll down):



Copyright (C) 2025 Yuki Horiuchi

Example 3.6: Free ornamentation for Corelli (1700) by Yuki Horiuchi and others (Scroll down)


In this way, we may be able to obtain, examine, choose, and perform a wide variety of ornaments derived through sets of rules {P1, P2,..., P18} and {D1, D2, D3}. In other words, we have so far attempted to uncover the lexicology of ornamentation in 18th-century Italian violin music. Now it seems that we have access to the entire vocabulary of the ornamentation in the style of that music.

Zaslaw (1996, 95) describes the significance of Corelli's Violin Sonatas op. 5 as follows:

Following their publication [1700] they attained the status of classics, and by 1800 had been republished more than 50 times, in Amsterdam, Bologna, Florence, London, Madrid, Milan, Naples, Paris, Rome, Rouen and Venice. No other set of works enjoyed a comparable reception in the 18th century.
Therefore, considering the unparalleled dominating influence of Corelli's op. 5 throughout the 18th century, the set of rules {P1, P2, P3, P5, P6, D1, D2, D3} together with those in row T, that is, {P14, P15,..., P18} may govern the ornamentation entirely and derive almost any instances of ornaments in the style of 18th-century Italian violin music.


4. Testing the Formal System of Free, Improvised Ornamentation by Computer Simulation

4.1. A Formal System of Free Ornamentation of the 18th Century

The rule system {P1, P2, P3, P5, P6, D1, D2, D3} is a kind of deductive system of rules. More precisely, we have attempted to organize the set of rules that regulate the ornamentation as a deductive system of rules. We do not have to consider P4, and the patterns in rows R and S of the table of Example 3.1, namely, P7, P8,..., P13, here, because they can be derived from {P1, P2, P3, P5, P6, D1, D2, D3}.

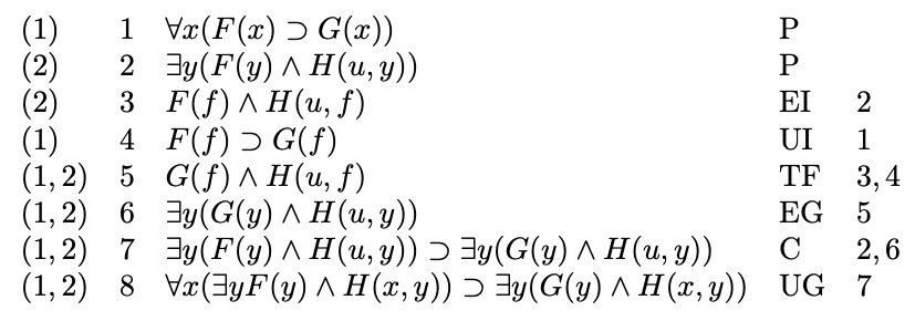
Deductive systems such as those of Euclidean geometry and first-order predicate logic derive theorems or true propositions from a set of axioms, postulates, and some other theorems or true propositions and inference rules, or deduction rules. For example, the following is a derivation, or an inference, of a proposition (line 8) from two propositions as premises (lines 1 and 2) in a system of first-order predicate logic (a system of natural deduction developed by Oide (1991, 1999) and discussed in Oide and Takano (2000). This particular example of deductive inference was originally used by Augustus De Morgan (1806-1871) to demonstrate the limitation of Aristotelian syllogism:

where

P: Premise

six rules of inference, or deductive reasoning:

UG: Universal Generalization
EI: Existential Instantiation
UI: Universal Instantiation
EG: Existential Generalization
TF: Truth Function
C: Conditionalization

and line 3, for example, shows that the formula is derived from line 2, or a premise, by means of the deduction rule Existential Instantiation.

Example 4.1: A derivation of a theorem in first-order predicate logic


In this example of a deduction in formal logic, the proposition in line 8 is derived from the two premises, lines 1 and 2, by deduction rules {EI, UI, TF, EG, C, UG}. And when the logical formulas of the premises are interpreted by one-on-one mapping between their symbols and empirical entities, and if the premises are true in the empirical domain, the conclusion on line 8 is also necessarily true. In short, in a deductive system like this one, if the premise(s) are true, the conclusion of an inference is necessarily true.

Just like the example of natural deduction in Example 4.1 above, the rule system {P1, P2, P3, P5, P6, D1, D2, D3} takes any short series of notes as "premises" and "may" derive ornaments in any style of those listed from columns B to L in the table of Example 2.1 or their combinations. In other words, the set could be a deductive rule system of the lexicology of ornamentation, which produces a corpus of the entire vocabulary of ornamentation from the 18th century. Needless to say, however, in a strict sense, the rule system {P1, P2, P3, P5, P6, D1, D2, D3} is not a deductive rule system because, while a deductive system in a strict sense has rules of deduction as its inference rules, those of the rule system we discuss here are not deductive ones. Also, at this point, the rule system only "may seem" to derive all ornaments in the style of the 18th-century Italian violin music because it has to do only with instances of ornaments, or the vocabulary, of the 18th-century free ornamentation. It does not concern itself with their usage, that is, the pragmatics of ornamentation. We will revisit this issue later in the last section.

Nevertheless, for our research, constructing a "pseudo" deductive system of the derivation of ornaments has a significant advantage over other approaches. Since the rule system we have identified can derive all the extant examples of ornaments applied to Corelli's op. 5, it may also generate any ornaments which 18th-century performers did not notate but would have performed. Therefore, when we try to play ornaments in the style of the 18th-century violin music, we can choose any ornaments derived by the rules without recourse to factual, historical evidence or whatever to justify the choice. We no longer have to trace, for example, document-based historical facts concerning, say, teaching instructions on ornamentation from teachers to their pupils. And once such a rule system becomes available, we can assume that, because it derives all the ornaments notated by 18th-century violinists, it's likely that it also derives those ornaments that the violinists might and would have performed. We will discuss whether this argument is sound or not later in the last section.


4.2. Testing the Formal System of Ornamentation by Computer Simulation

So, at this juncture, we need to test our rule system. The rule system can derive all the notated ornaments in sources listed in Example 1.4. Then, the issue we need to discuss is whether or not all ornaments derived from them but not found in the sources are also appropriate in some sense as ornaments for 18th-century music. If they are, the rule system {P1, P2, P3, P5, P6, D1, D2, D3} may serve as a guiding principle for performers to try out their own new ornaments.

Meyer (1967, 281-282) argues that

Music differs from natural science in that the objects or events studied by the scientist are not created by him.... For while the scientist discovers or chooses a particular paradigm within which to work, he does not create the objective world which the paradigm was designed to illuminate. And it is the existence of such an objective world which makes it possible for the scientist to test and validate his theories. The composer of experimental music, however, often creates both the paradigm and the sound relationships which the paradigm makes possible. The composer's "reality" must ... be the aural perceptual-cognitive capabilities of sensitive knowledgeable listeners.
In short, unlike natural scientists, musicians select their new ornaments governed by the rule system in accordance with the cognitive capabilities of those "sensitive knowledgeable listeners" or what Lerdahl and Jackendoff (1983) call "the experienced listener."

To achieve this, we have written a computer program in Java that implements the rule system. The rules implemented in the program are {P1, P2,..., P18} and {D1, D2, D3}. Some extra parameters, which are latent in the previous discussion concerning the processes of derivation of ornaments in Section 3, need to be supplied to the program. They include the highest and the lowest notes of each ornament, the number of notes each ornament consists of, and so on.

And we need to test the program against "the experienced listener," the notion of which Lerdahl and Jackendoff (1983, 3) define as follows:

We will now elaborate the notion of "the musical intuitions of the experienced listener." By this we mean not just his conscious grasp of musical structure; an acculturated listener need never have studied music. Rather we are referring to the largely unconscious knowledge (the "musical intuition" that the listener brings to his hearing—a knowledge that enables him to organize and make coherent the surface patterns of pitch, attack, duration, intensity, timbre, and so forth. Such a listener is able to identify a previously unknown piece as an example of the idiom, to recognize elements of a piece as typical or anomalous, to identify a performer's error as possibly producing an ungrammatical configuration, to recognize various kinds of structural repetitions and variations, and, generally, to comprehend a piece within the idiom.
For now, we need to assume that we, Horiuchi and Takaoka, are such "experienced listeners" while developing the Java program.

What follows is a brief description of the Java code we have written. It automatically generates ornaments in the style of those musicians listed in the table of Example 3.1 and realizes Basso Continuo parts. The following is the opening five measures from the 1st edition of Corelli's Violin Sonata, op.5, V (Corelli 1700):


Example 4.2: Mm. 1-5 from Corelli's Violin Sonata, op.5, V (Corelli 1700)


The figured bass is fed into the program in the form of a series of arrays shown in Example 4.3 below:
Example 4.3: The figured bass of mm. 1-2 from Corelli's Violin Sonata, op.5, V (Corelli 1700) in the form of a series of arrays


The names of ornament patterns and some other parameters such as the highest and lowest notes and the numbers of notes in ornaments are also specified as a series of arrays as follows:
Example 4.4: The patterns of ornaments in mm. 1-2 from Corelli's Violin Sonata, op.5, V (Corelli 1700) in the form of a series of arrays


Since we have not yet finished the rule system of the pragmatics of ornamentation, the positioning of each ornament is not automated at this point but needs to be carried out manually.

The program consists of the following Java classes:

  1. Corelli_Op5_5_1.java // Threads of all the instruments
  2. Ornamentation.java // Methods for the patterns of ornamentation
  3. PlayViolin.java // Violin
  4. PlayViol.java // Viol
  5. PlayHarpsichord_R.java // The right hand of the harpsichord
  6. PlayHarpsichord_L.java // The left hand of the harpsichord
  7. SoloAndFBass.java // Data of figured bass
  8. Conversion.java // Data conversion (eg. SPN to MIDI note numbers)
Example 4.5: The classes of the program

A method in the program that generates ornaments of P1, "Stepwise motion between consecutive two notes," looks like the following:
Example 4.6: The method that generates ornaments by way of P1: Stepwise motion between consecutive two notes


The synchronization among the three instruments, violin, viol, and harpsichord, is a little tricky because, as you see those ornaments in Examples 4 and 18, many of them are non-metric. In other words, the duration of each beat constantly changes. In this Java program, all the instruments synchronize at the onsets of harmony change. If you feel that all the instruments synchronize well, perhaps human players also try to synchronize that way.

Four separate threads, those of violin, viol, and harpsichord L and R, concurrently run in the program. I have tried a few different ways to synchronize them and so far found that the join() method works best as shown in Example 4.7.

Example 4.7: The thread of the violin part

Our program works well in Java. We have tried Python as well. In Python, however, threads do not run concurrently even when the Global Interpreter Lock (GIL) is disabled. We have also tried multiprocessing in Python, but it doesn't work well either.

The following video clip demonstrates that the program automatically generates ornaments and realizes basso continuo using the data sets shown in Examples 4.3 and 4.4:




Example 4.8: Mm. 1-5 from Corelli's Violin Sonata, op.5, V (Corelli 1700)
The ornaments are generated and the B.C. part is realized by the rule system in the Java program.


After trying out this computer program, we are now quite confident that the rule system {P1, P2, P3, P5, P6, D1, D2, D3} with {P14, P15,..., P18} produces those ornaments that remain in the framework of the 18th-century style of ornamentation.

A further issue we need to tackle is the "pragmatics of ornamentation" as opposed to the lexicology we have so far worked on. For example, the long, nonmetric ornamentation in Example 3.4, involving descending seventh leaps and chromatic steps, would sound rather strange if played at the beginning of a section. Therefore, as Meyer (1967, 14–16) argues, if music is a Markov process, the probabilistic order of successive musical events, including ornamentation patterns, is semantically crucial. Therefore, to avoid the use of ornamentation patterns that sound strange, a set of preference rules governing the application of the rules is necessary as part of the pragmatics.

The Java program we have developed will be available as a Web app on this Web page so that any performers and researchers of Baroque music can easily try out their own ornamentation.


5. Conclusions: Further Issues and Some Music-Theoretical Remarks

5.1. Towards the Pragmatics of the Ornamentation of the 18th Century

The application of formal systems to music has a long history. Even after the 20th century, Kassler (1963, 1968) tries to formalize the production of 12-tone music; Boretz' monumental work (Boretz 1970, 1971, 1972, 1973) tries to reconstruct music-theoretical discourse in terms of formal logic; Xenakis (1971) applies naive set theory as a rule system to produce pieces of music; and so on. Because of its high abstraction, however, systems of formal logic, such as that of natural deduction shown in Example 4.1 are not easy to handle in the field of music. Perhaps the most frequent attempts to apply formal systems to music are those of the grammar of formal linguistics. Bernstein (1976) is a well-known example of attempts to construct "musical grammar" based on Phrase Structure Rules. We need to be aware, however, that phrase structure rules generate not only meaningful sentences but also those such as the following:

Example 5.1: A syntactically well-formed but nonsensical sentence (Chomsky 1957/2002, 15)


This is a well-known example of sentences that are syntactically valid but at the same time nonsensical. Likewise, our rule system may well derive those ornaments that are in the style of 18th-century ornamentation, but, if allocated in the wrong way, sound not appropriate. We need to consider a rule system of pragmatics of ornamentation that is somehow equivalent to "the preference rules" formulated in Lerdahl and Jackendoff (1983) or Cope's "SPEAC System" (Cope 1991, 33-4; 2000, 191-204).


5.2. Style Change in Ornamentation

Now, we would like to discuss whether all those numerous derived ornaments, even those musicians in the 18th century never performed, can be considered "appropriate" for 18th-century free ornamentation, and how this "appropriateness" can be determined in the first place. Before doing so, we need to make clear the relationships between styles and their constraints.

Meyer (1996, 3) defines the notion of "style" as follows: "Style is a replication of patterning … that results from a series of choices made within some set of constraints." He argues that those constraints are classified into three categories, namely, "Laws," "Rules," and "Strategies":

And they constitute a layered hierarchy as shown in Example 5.2:

Example 5.2: Hierarchies of constraints that govern various styles of free ornamentation
based on Meyer's model of style change (Meyer 1996)


Meyer further argues that "... it should be mentioned here that most changes in the history of Western music have involved the devising of new strategies for the realization of existing rules, rather than the invention of new rules. (20)"

According to Meyer's definition of style cited above, therefore, if we recognize the set of various 18th-century free ornaments as a single category of style, it is because, as the table in Example 5.2 shows, that category has resulted from repeated applications of the rule system {P1, P2, P3, P5, P6, D1, D2, D3}. Consequently, since the rule system is necessary conditions for defining that style, the new ornamentation in Example 3.4 does not entirely deviate from the 18th-century style of free ornamentation as far as its lexicology is concerned. At least in this sense, therefore, the ornamentation in Example 3.4 is appropriate. Needless to say, however, the justification of this argument relies on the soundness of the inductive generalization, and thus, there is a chance that our argument might turn out to be false.

Hogwood (2013a, IX) observes, as already cited at the beginning of Section 1 on this page:

The art of ornamentation is always a balancing-act between the performer's intuition and the composer's specification; all that can be demonstrated from historical sources is a series of such reconciliations as proved acceptable to (some) 18th-century tastes. (emphasis added)"
In fact, concerning ornamentation by means of chromatic diminution, that is, a new strategy, Galeazzi (1817, 226) argues that:
... ella produce un maravigliosissimo effetto e può essere una sorgente inesausta di nuove, e sorprendenti diminuzioni,...
( [chromatic diminution] produces a most marvelous effect and can be an inexhaustible source of new and surprising diminutions.)
Likewise, it should also be possible for today's performers to introduce new strategies, new combinations of patterns P1 to P18, or even new rules to carry out the "balancing-act." If so, when today's performers play 18th-century music, they may want to follow the steps shown below in Example 5.2:

Example 5.2: Process of style change in ornamentation


In this way, we believe that today's musicians can also keep reviving 18th-century violin music.


Yuki Horiuchi and Akira Takaoka

Tokyo, Japan
December, 2025

E-mail: akira.takaoka (at) columbia (dot) edu

References



Allsop, Peter. 1999. Arcangelo Corelli: New Orpheus of Our Times. New York: Oxford University Press.

Arnold, Franck Thomas. 1965. The Art of Accompaniment from a Thorough-Bass: As Practiced in the XVIIth & XVIIIth Centuries, 2 vols. London: Oxford University Press, 1931. Reprint, New York: Dover.

Ashworth, Jack. 1985. "How to Improve a Continuo Realization." American Recorder 26/2: 62-65.

Bach, Carl Philipp Emanuel. 1949. Versuch über die wahre Art das Clavier zu spielen. Berlin, 1759, 1762. Tr. by William J. Mitchell as Essay on the True Art of Playing Keyboard Instruments. New York: Norton.

Bach, Johann Sebastian. 1994. J.S. Bach's Precepts and Principles for Playing the Thorough-Bass or Accompanying in Four Parts. Leipzig, 1738. Tr. and ed. by Pamela L. Poulin. Oxford: Clarendon Press and New York: Oxford University Press.

Baillot, Pierre. 1834. L’art du violon. Paris: Imprimerie du Conservatoire de Musique, s.d. 1834).

Bernstein, Leonard. 1976. The Unanswered Question: Six Talks at Harvard. Cambridge, Mass.: Harvard University Press.

Bériot, Charles de. 1857. Méthode de violon, op. 102. Paris: l’Auteur.

Boretz, Benjamin Aaron. 1970. "The Construction of Musical Syntax (I)." Perspectives of New Music, Vol. 9/1: 23–42.

_______. 1971. "Musical syntax (II)." Perspectives of New Music, Vol. 9/2–10/1: 232–270.

_______. 1972. "Meta-variations, part iv: Analytic fallout (i)." Perspectives of New Music, Vol. 11, No. 1: 146–223.

_______. 1973. "Meta-variations, part iv: Analytic fallout (ii)." Perspectives of New Music, Vol. 11, No. 2: 156–203.

Borgir, Tharald. 1987. The performance of the basso continuo in Italian baroque music. Ann Arbor, Mich.: UMI Research Press, 1977. Reprint, Rochester, New York: University of Rochester Press.

Bötticher, Jörg-Andreas. 1994. "'Regeln des Generalbasses': Eine Berliner Handschrift des späten 18. Jahrhunderts." Basler Jahrbuch für Historische Musikpraxis 18: 87-114.

Boyden, David. 1965. The History of Violin Playing from its Origins to 1761 and its Relationship to the Violin and Violin Music. London and New York : Oxford University Press.

Buelow, George J. 1963. "The Full-Voiced Style of Thorough-Bass Realization." Acta Musicologica. International Musicological Society 35 (4): 159–171.

_______. 1986. Thorough-Bass Accompaniment According to Johann David Heinichen. Berkeley: University of California Press, 1966. Rev. ed., Ann Arbor: UMI Research Press.

Burney, Charles. 1789. A General History of Music. Reprint, New York: Dover Publications, 1957.

_______. 1802. "Adagio." Abraham Rees ed. The New Cyclopaedia, or,Universal Dictionary of the Arts and Sciences, vol. i. London: Longman.

Chomsky, Noam. 1957. Syntactic Structures. 2nd ed. 2002. Berlin and New York: Mouton de Gruyter.

Christensen, Jesper Bøje. 1997. 18th Century Continuo Playing: A Historical Guide to the Basics. Translated by J. Bradford Robinson. Die Grundlagen des Generalbassspiels im 18. Jahrhundert: ein Lehrbuch nach zeitgenössischen Quellen. Kassel; New York: Bärenreiter, 2002.

Cope, David. 1991. Computers and Musical Style. Madison: A-R Editions.

_______. 1996. Experiments in Musical Intelligence. Madison: A-R Editions.

_______. 2000. The Algorithmic Composer. Madison: A-R Editions.

_______. 2005. Computer Models of Musical Creativity. Cambridge, Mass.: The MIT Press.

Cypess, Rebecca. 2019. "How thorough was Bach’s thoroughbass? A reconsideration of the trio texture." Early Music. Oxford University Press 47 (1): 83–97.

Daw, Brian A. 1985-86. "Alessandro Scarlatti's Continuo Realization of Da sventura a sventura (1690): An Analysis and Observations Relating to Late Seventeenth-Century Keyboard Practices." Early Keyboard Journal 4: 51-60.

Derr, Ellwood. 1985. "Concertante Passages in Keyboard Realizations in Handel: Some Guidelines." The Diapason: 9-12.

Donington, Robert. 1992. The Interpretation of Early Music. Rev. ed. New York: Norton.

Dreyfus, Arthur. 1987. Bach's Continuo Group: Players and Practices in His Vocal Works. Cambridge: Harvard University Press.

Galeazzi, Francesco. 1791/1817. Elementi teorico-pratici di musica con un saggio sopra l'arte di suonare il violino analizzata, ed a dimostrabili principi ridotta, vol. i. Rome, 1791, 1796, enlarged 2/1817.

Gasparini, Francesco. 1708. L’armonico pratico al cimbalo. Venice. The Practical Harmonist at the Harpsichord. Translated by Frank S. Stillings. Edited. by David L. Burrows. New Haven: Yale School of Music, 1963.

Gatti, Enrico. 2016. "Però ci Vole Pacientia - Un excursus sull’arte della diminuzione nei secoli XVI, XVII e XVIII per uso di chi avrà volontà di studiare." In Regole per ben suonare e cantare, pp. 71-180. Edited by Ausikia Magaudda and Carlo Lo Presti: Edizioni ETS.

Geminiani, Francesco. ca. 1748. Rules for playing in a true taste. Opera VIII. London.

_______. 1749. A Treatise of Good Taste in the Art of Musick. London: s.e.

_______. 1751. The Art of Playing on the Violin. London.

Gudger, William D. 1985. "Playing Organ Continuo in Handel's Messiah." The American Organist 19/2: 91--92.

Habeneck, François Antoine. 1842. Méthod théorique et practique de violon. Paris: Canaux.

Hammel, Marla. 1977. "The Figured-bass Accompaniment in Bach's Time: A Brief Summary of Its Development and An Examination of Its Use, Together With a Sample Realization, Part I." Bach. Riemenschneider Bach Institute 8 (3): 26-31.

_______. 1978. "The Figured-bass Accompaniment in Bach's Time: A Brief Summary of Its Development and An Examination of Its Use, Together With a Sample Realization, Part II." Bach. Riemenschneider Bach Institute 9 (1): 30-36.

Hogwood, Christopher. 2013a. "Introduction." In Arcangelo Corelli. 1700. Sonaten für violine und basso continuo = sonatas for violin and basso continuo, vols. 1, 2. Edited by Christopher Hogwood and Ryan Mark. Kassel and New York: Bärenreiter.

Hogwood, Christopher and Ryan Mark ed. 2013a. Arcangelo Corelli. 1700. Sonatas for Violin and Basso continuo, With Contemporary Embellishments, and a Keyboard Realisation by Antonio Tonelli (1686-1765), vol. 1. Kassel: Bärenreiter.

Hogwood, Christopher and Ryan Mark ed. 2013b. Arcangelo Corelli. 1700. Sonatas for Violin and Basso continuo, With Contemporary Embellishments, and a Keyboard Realisation by Antonio Tonelli (1686-1765), vol. 2. Kassel: Bärenreiter.

Horiuchi, Yuki. 2018. "Arbitrary Ornamentation" in Slow Movements for Violin: The "Inheritance" and "Disruption" of Performance Practice from the 18th Century to the Beginning of the 19th Century. Ph.D. diss., Tokyo University of the Arts.
(堀内由紀. 2018. 『ヴァイオリン音楽における緩徐楽章の「恣意的装飾」: 18世紀から19世紀初頭にかけての演奏習慣の「継承」と「断絶」』 博士論文、東京藝術大学.)

_______. 2020. "Analytic studies of Willkührlichen Veränderungen (arbitrary ornamentation) in Sonate a violino e violone o cimbalo, op. 5 by Corelli." Bulletin of the Japan Music Expression Society 18 (0): 11-20)
(_______. 2020. 「コレッリ『ヴァイオリン・ソナタ集』(作品 5)における「恣意的装飾」の分析研究 —アムステルダム版(1710 年)における伝統と革新—」『音楽表現学』18巻. 日本音楽表現学会: 11-20.)

_______. 2026. "18th-Century Free Ornamentation in Corelli's Violin Sonatas Op. 5: Its Lexicology and Leonard Meyer's Notion of Style." Ongakugaku: Journal of the Musicological Society of Japan, in print.)
(_______. 2026. 「コレッリ《ヴァイオリン・ソナタ》作品5に見る各種装飾パターンとその体系化 ―― 現代における自由装飾の語彙に関する演奏指針 ―― 」『音楽学』第71巻2号(2026年3月発行予定) 日本音楽学会. (採択済))

Johnstone, H. Diack. 1996. "Yet More Ornaments for Corelli's Violin Sonatas, op.5." Early Music 24/4: 626-33.

Kassler, Michael. 1963. "A Sketch of the Use of Formalized Languages for the Assertion of Music." Perspectives of New Music, 1/2: 83-94.

_______. 1968. "Toward a Theory That is the Twelve-note-class System." A Trinity of Essays. Ph.D. diss., Princeton University.

_______. 1975. "Proving Musical Theorems 1: The Middleground of Heinrich Schenker's Theory of Tonality." Technical report, no. 103, Basser Department of Computer Science, School of Physics, University of Sydney.

Keller, Hermann. 1965. Thoroughbass Method: With Excerpts from the Theoretical Works of Praetorius, Niedt, Telemann, Mattheson, Heinichen, J. S. and C. P. E. Bach, Quantz, and Padre Mattei, and Numerous Examples from the Literature of the 17th and 18th Centuries. Tr. and ed. by Carl Parrish. New York: Norton.

Koopman, Ton. 2008. "Notes on J.S. Bach and Basso Continuo Realization." About Bach ed. by Gregory G. Butler, George B. Stauffer, and Mary Dalton Greer, 125-34. Urbana and Chicago: University of Illinois Press.

Ledbetter, David, ed. 1990. Continuo Playing According to Handel: His Figured Bass Exercises. Oxford: Clarendon Press.

Lerdahl, Fred and Ray Jackendoff. 1983. A Generative Theory of Tonal Music. Cambridge, Mass.: MIT Press.

Levin. Robert D. 1992. "Improvised Embellishments in Mozart's Keyboard Music." Early Music, 20/2: 221-233.

Meyer, Leonard B. 1967. Music, the Arts, and Ideas: Patterns and Predictions in Twentieth-Century Culture. Chicago and London: The University of Chicago Press.

_______. 1996. Style and Music: Theory, History, and Ideology. Philadelphia: University of Chicago Press.

Mortensen, Lars Ulrik. 1996. "'Unerringly Tasteful'?: Harpsichord Continuo in Corelli's op.5 Sonatas Author(s)." Early Music. Oxford University Press 24 (4): 665–79.

Neumann, Fredrick. 1978. Ornamentation in Baroque and Post-Baroque Music. Princeton: Princeton University Press.

Nuti, Giulia. 2016. The Performance of Italian Basso Continuo: Style in Keyboard Accompaniment in the Seventeenth and Eighteenth Centuries. New York: Routledge, Taylor & Francis Group.

Oide, Akira. 1999. Inquiry into Logic. Tokyo: Keio University Press.
(大出 晁. 1999. 『論理の探求』 慶應義塾大学出版会.)

_______. 1999. Logic for Natural Deduction. Tokyo: Keiso Shobo.
(_______. 1991. 『自然な推論のための論理学』 勁草書房.)

Oide, Akira and Morimasa Takano. 2000. Logic. Tokyo: Keio University Press.
(大出 晁, 髙野 守正. 2000. 『論理学』 慶應義塾大学出版会.)

Quantz, Johann Joachim. 1752. Versuch einer Anweisu die Flöte traversiere zu spielen. Berlin: Johann Friedrich Voß.

Radford, Andrew. 1986. Transformational Syntax: A Student's Guide to Chomsky's Extended Standard Theory. Cambridge: Cambridge University Press.

Rasch, Rudolf. 1996. "Corelli's Contract: Notes on the Publication History of the 'Concerti Grossi ... Opera Sesta' [1714]." Tijdschrift van de Koninklijke Vereniging voor Nederlandse Muziekgeschiedenis, Deel 46, No.2: 83-136.

Rees, Abraham. 1802. The New Cyclopaedia, or Universal Dictionary of the Arts and Sciences. London: Longman.

Reiter, Walter S. 2020a. The Baroque Violin & Viola: A Fifty-Lesson Course, vol. 1. New York: Oxford University Press. https://www.kobo.com/us/en/ebook/the-baroque-violin-viola-vol-i?sId=339f6120-2b40-45ee-a9d8-a890dbd1f3c4&ssId=AY33WLnmuHJ1uyEOZd3qK&cPos=1.

_______. 2020b. The Baroque Violin & Viola: A Fifty-Lesson Course, vol. 2. New York: Oxford University Press. https://www.kobo.com/us/en/ebook/the-baroque-violin-viola-vol-ii?sId=b1687d66-4872-42d8-9f60-75c66905c38d&ssId=Dcgmif8fMFL3WAJL4CEam&cPos=2.

Remeš, Derek. 2017. "J. S. Bach’s Chorales: Reconstructing Eighteenth-Century German Figured-Bass Pedagogy in Light of a New Source." Theory and Practice 42: 29-53.

_______. 2019. "Thoroughbass Pedagogy Near Johann Sebastian Bach: Editions and Translations of Four Manuscript Sources." Zeitschrift der Gesellschaft fuer Musiktheorie 16/2: 95-165.

Rogers, Patrick J. 1989. Continuo Realization in Handel's Vocal Music. Ann Arbor: UMI Research Press.

_______. 1990. "A Neglected Source of Ornamentation and Continuo Realization in a Handel Aria." Early Music 18/1: 83--89.

Rosch, Eleanor, and Carolyn B. Mervis. 1975. "Family Resemblances: Studies in the Internal Structure of Categories." Cognitive Psychology, no. 7: 573–605.

Seletsky, Robert E. 1996. "18th-Century Variations for Corelli's Sonatas, op.5." Early Music, 24/1: 119-30.

Smiles, Joan E. 1978. "Directions for Improvised Ornamentation in Italian Method Books of the Late Eighteenth Century." Journal of the American Musicological Society, 31/3: 495-509.

Stowell, Robin. 1985. Violin Technique and Performance Practice in the Late Eighteenth and Early Nineteenth Centuries. New York: Cambridge University Press.

Taruskin, Richard. 2010. Music in the Seventeenth and Eighteenth Centuries. Kindle ed. Oxford University Press.

Tarling, Judy. 2000. Baroque String Playing for Ingenious Learners. St. Albans: Corda Music.

Telemann, Georg Philipp. 1728. Sonate Metodiche à Violino solo ò Flauto traverso. Hamburg. Georg Philipp Telemann.

東川清一編. 2008. 『対位法の変動・新音楽の胎動 —ルネサンスからバロックへ:転換期の音楽理論—』東京:春秋社.

テュルク、ダニエル・ゴットロープ. 1789.『クラヴィーア奏法』(Daniel Gottlob Türk. Klavierschule. Halle) 東川清一訳、東京:春秋社、2000.

Walls, Peter. 1996. "Performing Corelli's Violin Sonatas, op.5." Early Music, 24/1: 133-42.

_______. 1997. "Performing Corelli's op.5." Early Music, 25/1: 172.

Williams, Peter. 1970. Figured Bass Accompaniment. 2 vols. Edinburgh University Press.

_______. 1994. "Johann Sebastian Bach and the Basso Continuo." Basler Jahrbuch für Historische Musikpraxis 18: 67-86.

Wilson, John. 1959. Roger North on Music. c. 1695-1728. London: Novello.

Xenakis, Iannis. 1971. Formalized Music. Bloomington: Indiana University Press.

Zaslaw, Neal and John Spitzer. 1986. "Improvised Ornamentation in Eighteenth-Century Orchestras." Journal of the American Musicological Society 39/3: 524-77.

Zaslaw, Neal. 1996. "Ornaments for Corelli's Violin Sonatas, op.5." Early Music. Oxford University Press 24 (1): 95-116.

_______. 2013. "'Curling graces' and 'vermin' : problems with the ornaments for Corelli's op. 5." Basler Jahrbuch für historische Musikpraxis : eine Veröffentlichung der Schola Cantorum Basiliensis, Lehr- und Forschungsinstitut für Alte Musik an der Musik-Akademie der Stadt Basel, 37.



Scores:

(* indicates the locations of anonymous manuscript sources.)

Cambridge*. 1730s -1740s. Manuscript copy. Cambridge University Library (GB-Cu), MS. Add. 7059(15) (RISM ID no. 806292092).

Corelli, Arcangelo. 1700. Sonate a Violino e Violone o Cimbalo, op.5. 1st ed. Rome: Gasparo Pietra Santa.

_______. 1710. Sonate a Violino e Violone o Cimbalo di Arcangelo Corelli Da Fusignano Opera Quinta Parte Prima Troisième Edition ou l’on a joint les agréemens des Adagio de cet ouvrage, composez par Mr. A. Corelli comme il les joue. Edited by Estienne Roger. Amsterdam. facs. a cura di Marcello Castellani, Firenze, SPES 1979.

_______. 2013. Sonatas for Violin and Basso continuo, With contemporary embellishments, and a keyboard realisation by Antonio Tonelli (1686-1765), 2 vols. Edited by Christopher Hogwood and Ryan Mark. Kassel: Baerenreiter.

Dubourg, Matthew. c.1725. Corelli’s Solos Grac’d by Dobourg, versioni ornate delle Sonate op. 5 di Corelli. ms. del sec. XVIII, collezione privata ignota.

Festing, Michael Christian. c. 1733-36. GB-LbI (The British Library, London), Add. MS 71244.

Galeazzi, Francesco. 1791/1817. Elementi teorico-pratici di musica con un saggio sopra l'arte di suonare il violino analizzata, ed a dimostrabili principi ridotta, 2 vols. Rome, 1791/1796. Enlarged 2nd ed. Ascoli.

Geminiani, Francesco. 1776. “Arcangelo Corelli. Violin Sonata, op.5, no.9.” In John Hawkins. 1776. A General History of the Science and Practice of Music, vol. 5. London: T. Payne: 394-9.

McGibbon/McLean. c. 1740. Jean Gray Hargrove Music Library, University of California, Berkeley (US-BEm), MS 957.

Manchester*. c.1750. Manchester Public Library (GB-Mp), Newman Flower Collection, MS. 130 HD 4 v.313.

Lund* n.d. Lund Universitetsbiblioteket (S-L), Saml Wenster L:61.

Roman, Johan Helmich. c. 1715–1721. "Ornamentikförslag till Corellis op. 5." Stockholm: Musik- och teaterbiblioteket, Romansamlingen shelfmark: Ro:61(3) and (4), and Ro:97:57, 58, and 60. Also available under "Romansamlingen" at https://www.alvin-portal.org/

Tartini, Giuseppe. n.d. Tartini | Miscellanea Parti incomplete. Biblioteca Antoniana, Padua (I-Pca), D.VI. 1896 (RISM ID no. 850731001).

_______. 1771. Traité des Agréments de la musique. Paris. Translated by E. R. Jacobi. Celle and New York: Hermann Moeck Verlag,1961. Regole per arrivare a saper ben suonar il Violino.

Telemann, Georg Philipp. 1728. Sonate Metodiche à Violino solo ò Flauto traverso. Hamburg. Georg Philipp Telemann.

Tonelli, Antonio. n.d. Realizzazione del basso continuo dell’opera quinta di Arcangelo Corelli. Manuscript. Mus.F. 1174, Biblioteca estense universitaria, Modena.



Updated on 12/12/2025

Copyright (C) 2025 Yuki Horiuchi and Akira Takaoka